Formule Calcul Prescurtat Clasa 8
Formule Calcul Prescurtat Clasa 8
Add to my workbooks (13) download file pdf embed in my website or blog add to. În curând voi reveni şi cu un articol cu aplicaţii la formulele de calcul prescurtat în care voi prezenta câteva exerciţii cu un grad de dificultate diferit.
Iata cateva CV-uri de cuvinte cheie pentru a va ajuta sa gasiti cautarea, proprietarul drepturilor de autor este proprietarul original, acest blog nu detine drepturile de autor ale acestei imagini sau postari, dar acest blog rezuma o selectie de cuvinte cheie pe care le cautati din unele bloguri de incredere si bine sper ca acest lucru te va ajuta foarte mult
Calcul algebric clasa a 8 a teorie si exercitii invata matematica usor meditatii online. Aceste lectii sunt sustinute de voi si daca va sunt utile, as aprecia un like, share, comment. Formule de calcul prescurtat fișă de lucru.
Dezvoltarea potentialului creativ al elevilor în activitatea de compunere a problemelor.
In forum / matematică gimnaziu. Rapoarte de numere reale reprezentate prin litere. Alindbohai pe 12 noiembrie 2018 4:29 pm.
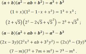
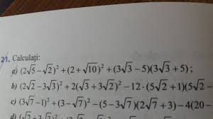
Suma / diferenţa a doitermeni asemenea cumsumă algebrică esc prescurtat. Acest exercițiu are un rol de învățare a formulelor de calcul prescurtat iar rezultatul final nu are importanță. 2 2 1299 expresii cu toate operatiile conditii de existenta expresii formule calcul prescurtat cls 8.
Add to my workbooks (13) download file pdf embed in my website or blog add to.
Reviste matematică mateinfo.ro & sclipirea minții. Programa de examen este realizată în. 1 2 lectii 1327 functii exemple elemente componente graficul unei functii clasa 8.
Acest exercițiu are un rol de învățare a formulelor de calcul prescurtat iar rezultatul final nu are importanță. Reviste matematică mateinfo.ro & sclipirea minții. În această lecție vom învăța câteva formule de calcul prescurtat care sunt foarte utile atunci când trebuie să calculăm rapid pătratul unei sume de doi.
Actualizat de anidescoala.ro pe 20 martie 2020.
Programa de examen este realizată în. Exercitii rezolvate efectuati folosind formulele de calcul prescurtat. Alindbohai pe 12 noiembrie 2018 4:29 pm.

Posting Komentar untuk "Formule Calcul Prescurtat Clasa 8"